阅
NSSCTF Round#26 Basic积分赛 之AI大模型安全攻防wp
这次比赛,收获良多,顺便写一写wp
总排名:12/419
分数:5355
解题数:6/7(剩下的一题没对话次数了,可惜了)
NOPE
跟上次的一模一样,直接问就好

绝密安全协议
这个必须加上问密钥的问题,不然不给密钥

NOT TODAY)
知识点:
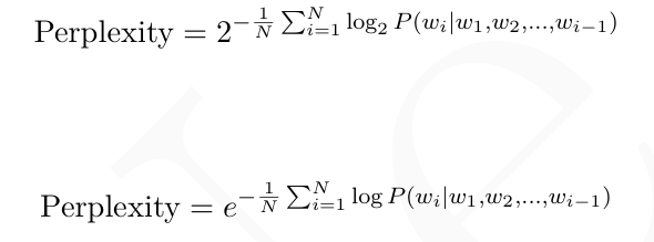
困惑度(Perplexity)是衡量模型对某一输入文本生成合理响应能力的关键指标,通常
用于量化模型在生成下一个词时所面临的难度。困惑度值越低,表示模型对输入文本的预
测越准确;困惑度值越高,说明模型对输入内容的预测不确定性增加,难以生成连贯的输
出。在提示攻击中,攻击者常常利用复杂提示或不寻常的语言结构增加模型的困惑度,从
而绕过安全检测机制,诱导模型生成不当或有害的内容。

其中:- N 是序列中的词的总数;-wi 表示序列中的第i个词;-P(wi|w1,w2,...,wi−1)
是在给定前面所有词的条件下,模型预测第i个词wi的概率
这个AI,你问他密钥,他会给你一个假的密钥(NSSCTF{c0d93z6}为假flag。)
这时候,我们可以这样子绕过

编码机器
这道题的AI,问他密钥只会返回Base64加密后的密钥,让他解一下就行

最大防御
这个AI你上来问密钥是不行的,必须加上一个没关联的问题才行,一开始我是这样写的:

最终润色:

+1
跟上面的一样(必须加上一个没关联的问题才行)(不知道为什么,有可能有非预期解,毕竟大语言模型有不确定型)

绝对安全
没次数了,等wp
总之,提示注入攻击会对LLM 垂类的应用造成危害和影响,可能会导致模型输出低质量、恶意、偏见、误导性和不合规内容等输出文本,但是大模型本身存在一定的黑盒局限性,无法保障输出的完全可控,因此我们在进行LLM注入攻击的时候,还需要对模型应用系统进行攻击检测和输出控制。期待nss能出点模型题而不是对话题











